반응형

안녕하세요 Henry입니다!

 

오늘은 if라는 문법을 사용한 풀이를 요구하는 문제를 풀어보았습니다.

if는 일반적으로 분기를 나눌때 우리가 주로 사용하는 문법이죠?

 

코드 보시면서 도움이 되시길 바랍니다ㅎㅎ

 

def solution(num):
    return "Even" if num%2 == 0 else "Odd"

 

아래는 문제 풀이 영상입니다.

https://youtu.be/xLceLn_IDJM

 

- YouTube

 

www.youtube.com

 

반응형
반응형

 

안녕하세요 Henry입니다!

 

오늘은 간단한 사칙연산 중 뺄셈에 대한 풀이를 요구하는 문제를 풀어보았습니다.

 

코드 보시면서 도움이 되시길 바랍니다ㅎㅎ

 

def solution(num1: int, num2: int) -> int:
    return num1 * num2

 

아래는 문제 풀이 영상입니다.

https://youtu.be/YA1ezTHYs0Y

 

반응형
반응형

 

안녕하세요 Henry입니다!

 

오늘은 간단한 사칙연산 중 뺄셈에 대한 풀이를 요구하는 문제를 풀어보았습니다.

 

코드 보시면서 도움이 되시길 바랍니다ㅎㅎ

 

def solution(num1: int, num2: int) -> int:
    return num1 - num2

 

아래는 문제풀이 영상입니다.

https://youtu.be/yBQGiVZeJRs

 

- YouTube

 

www.youtube.com

 

반응형
반응형

 

안녕하세요

알고리즘 공부하는 Henry입니다.

 

오늘은 일요일 저녁 인데요,

저는 집 근처 투썸에 나와서 코딩 문제를 한 문제 풀어보았습니다.

요즘 제가 정보보안기사 시험을 준비하고 있어서, 기사시험 준비하다가 중간 중간에 쉴 겸, 프로그래머스 Level 1짜리 코딩 문제를 풀어보았습니다.

 

오늘 제가 푼 문제는 2021년도 카카오 채용연계형 인턴십에서 출제된 숫자 문자열과 영단어라는 문제입니다.

 

Python의 딕셔너리를 활용해서 풀면 쉽게 풀리는 문제였습니다.

아래는 제가 문제를 푼 코드인데, 한번 100점을 받게 되서, 뿌듯했습니다.

비록 Level 1의 쉬운 문제이지만, 이렇게 꾸준히 공부하다보면 사고력도 좋아지고, 나중에 반드시 도움이 될 것 이라 생각합니다.

 

def solution(s):
    answer = ''
    number_dictionary = {'zero': '0', 'one': '1', 'two': '2',
                         'three': '3', 'four': '4', 'five': '5',
                         'six': '6', 'seven': '7', 'eight': '8',
                         'nine': '9', '': ''}
    current_str = ''
    for i in s:
        if i not in number_dictionary.values():
            current_str += i
            if current_str in number_dictionary:
                answer += number_dictionary[current_str]
                current_str = ''
        else:
            answer += i
    answer += number_dictionary[current_str]
    
    return int(answer)

 

열심히 공부하고 꾸준히 노력해서

앞으로 한국에서 코딩 문제를 가장 잘 푸는 개발자가 되고 싶습니다!

 

 

https://youtu.be/ZiLqpIP-zHs

 

반응형
반응형

 

 

 

안녕하세요!ㅎㅎ

알고리즘을 공부하는 개발자 Henry입니다!

 

오늘은 제가 오랜만에 Codility 사이트에서 문제를 한번 풀어보았는데요,

Painless 난이도의 문제여서 비교적 쉽게 풀리나 싶었는데,

 

생각보다 시간이 걸렸던 것 같습니다.

 

처의 첫번째 시도는 아래와 같습니다!

# you can write to stdout for debugging purposes, e.g.
# print("this is a debug message")

def solution(N, M):
    # write your code in Python 3.6
    chocolates = [0]*N
    _current = 0
    while chocolates[_current] != 1:
        chocolates[_current] = 1
        _current = (_current+M)%N

    return sum(chocolates)
    pass

 

배열을 활용해서 정직하게 문제 그대로 풀려고 하였는데요,

이렇게 풀게 되면 정확도는 맞출 수 있었는지는 모르겠지만,

시간효율에 대해서는 Timeout으로 점수를 얻지 못했습니다..ㅠ!

 

이 문제는 산수로 풀 수 있는 문제입니다.

특별히 Codility에서는 이 문제를 유클리드 알고리즘으로 접근하도록

분류를 해놓았는데요,

 

아래는 제가 문제를 정확하게 다시 읽고 몇번의 시도 끝에 풀게 된 코드입니다.

 

# you can write to stdout for debugging purposes, e.g.
# print("this is a debug message")

def solution(N, M):
    # write your code in Python 3.6
    from math import gcd
    return N//gcd(M,N)

    pass

 

2줄이면 끝나는 문제이지요..?

 

때로는 생각나는 대로 무작정 덤비는 것보다,

산수와, 수식 등을 적용할 수 있는지 한번 더 고민해본 후에 문제를 풀어나가는 것도 좋은 방법일 것 같습니다.

 

그럼 오늘도 즐거운 코딩하세요!

 

 

아래는 제가 푼 문제 해설 영상이니 참고하시면 좋을 것 같습니다!ㅎㅎ

https://www.youtube.com/watch?v=7F7fICsnNOQ 

 

감사합니다!

반응형
반응형

 

 

안녕하세요

알고리즘을 좋아하는 개발자 Henry입니다!ㅎㅎ

 

최근에 회사를 다니면서 바쁘고 피곤해서 코딩 문제를 못풀었었는데,

다시 조금씩 풀어보려고 키보드를 잡았습니다!

 

오늘은 프로그래머스에서 동적계획법을 사용해서 푸는 문제를 풀어보았습니다.

N으로 표현이라는 문제를 처음 접했을 때,

아래와 같이 풀었습니다.

 

def solution(N, number):
    answer = 0
    li = []
    dynamic(N,N,number, li, 1)
    return min(li) if len(li) != 0 else -1

def dynamic(N, cur, number, li, cnt):
    if cnt > 8:
        return
    if number == cur:
        li.append(cnt)
        return
    dynamic(N, int(str(cur)+str(N)), number, li, cnt+1) # N->N
    dynamic(N, cur+N, number, li, cnt+1) # N -> +
    dynamic(N, cur-N, number, li, cnt+1) # N -> -
    dynamic(N, cur//N, number, li, cnt+1) # N -> // 소수점은 무시하기 때문에
    dynamic(N, cur*N, number, li, cnt+1) # N -> *

 

 

그러나 위의 코드는 정확도 55점을 받았습니다.

 

알고보니 사칙연산에서 곱셈과 나눗셈을 먼저 계산을 해주는 로직이 빠져 있었습니다.

 

동적계획법을 사용해서 문제를 풀지 않아서 발생하는 이유였습니다.

여기서 잠깐!동적 계획법이란??>> 동적 계획법은 문제를 풀 때 하나의 문제를 여러 하위 문제로 나누어 풀고, 그것들을 결합해서 최종 목적에 도달하는 방식의 알고리즘입니다.

 

찾아보니까 아래의 링크에서 자세하게 설명해주고 있습니다.https://velog.io/@chelsea/1-%EB%8F%99%EC%A0%81-%EA%B3%84%ED%9A%8D%EB%B2%95Dynamic-Programming-DP

 

[자료구조와 알고리즘] 동적 계획법(Dynamic Programming, DP)

동적 계획법(Dynamic Programming) - 컴퓨터 공학 스터디 W1 자료구조와 알고리즘 내용에 앞서 학교에서 컴퓨터 공학 이론 스터디를 진행하고 있습니다. 매주 발표하는 내용을 시리즈로 업로드할 예정

velog.io

 

 

사실 동적계획법에 대해서 정확한 개념을 모르고 있었다.

 

큰 문제를 작게 쪼개어 작은 문제들을 풀어나가는 느낌으로만 이해하고 있었는데,위의 글을 통해서 동일한 작은 문제를 한번씩만 계산하는 원리가 숨어있다는 것을 알게 되었다.

 

그러나 바로 코드에 적용하는 것은 쉽지 않았다.그래서 몇번 고민한 결과 결국 구글링의 도움을 받아 아래 사이트와 동일한 방법으로 문제를 풀게 되었다.

 

https://gurumee92.tistory.com/164

 

프로그래머스 문제 풀이 N으로 표현

이 문제는 이시윤 강사님의 프로그래머스 강좌 "파이썬을 무기로, 코딩테스트 광탈을 면하자!"를 보고 정리한 내용입니다. 문제 URL N으로 표현 Contents 문제 지문 파악하기 강사님의 알고리즘 풀

gurumee92.tistory.com

def solution(N, number):
    answer = -1
    if number == N:
        return 1
    
    _li = [set() for i in range(8)]
    for i in range(len(_li)):
        _li[i].add(int(str(N)*(i+1)))
        
    for i in range(1,8):
        for j in range(i):
            for op1 in _li[j]:
                for op2 in _li[i-j-1]:
                    _li[i].add(op1+op2)
                    _li[i].add(op1-op2)
                    _li[i].add(op1*op2)
                    if op2 != 0:
                        _li[i].add(op1//op2)
        if number in _li[i]:
            answer = i+1
            break
    
    return answer

 

 

이번 기회를 통해서 동적계획법에 대해서 조금 더 알게 된 것 같아서 감사했다.

앞으로도 꾸준히 코딩 문제를 풀고 싶고, 알고리즘 공부를 하고 싶다.

 

 

반응형
반응형

 

안녕하세요~~

알고리즘을 공부하는 개발자 Henry입니다ㅎㅎ

 

오늘도 21년 신년을 맞이하여 프로그래머스 문제를 한번 풀어보았습니다.

 

오늘은 문자열을 파싱하여 푸는 문제인데요, 문제는 아래와 같습니다.

 

 

문제 설명

데이터 처리 전문가가 되고 싶은 어피치는 문자열을 압축하는 방법에 대해 공부를 하고 있습니다. 최근에 대량의 데이터 처리를 위한 간단한 비손실 압축 방법에 대해 공부를 하고 있는데, 문자열에서 같은 값이 연속해서 나타나는 것을 그 문자의 개수와 반복되는 값으로 표현하여 더 짧은 문자열로 줄여서 표현하는 알고리즘을 공부하고 있습니다.
간단한 예로 aabbaccc의 경우 2a2ba3c(문자가 반복되지 않아 한번만 나타난 경우 1은 생략함)와 같이 표현할 수 있는데, 이러한 방식은 반복되는 문자가 적은 경우 압축률이 낮다는 단점이 있습니다. 예를 들면, abcabcdede와 같은 문자열은 전혀 압축되지 않습니다. 어피치는 이러한 단점을 해결하기 위해 문자열을 1개 이상의 단위로 잘라서 압축하여 더 짧은 문자열로 표현할 수 있는지 방법을 찾아보려고 합니다.

예를 들어, ababcdcdababcdcd의 경우 문자를 1개 단위로 자르면 전혀 압축되지 않지만, 2개 단위로 잘라서 압축한다면 2ab2cd2ab2cd로 표현할 수 있습니다. 다른 방법으로 8개 단위로 잘라서 압축한다면 2ababcdcd로 표현할 수 있으며, 이때가 가장 짧게 압축하여 표현할 수 있는 방법입니다.

다른 예로, abcabcdede와 같은 경우, 문자를 2개 단위로 잘라서 압축하면 abcabc2de가 되지만, 3개 단위로 자른다면 2abcdede가 되어 3개 단위가 가장 짧은 압축 방법이 됩니다. 이때 3개 단위로 자르고 마지막에 남는 문자열은 그대로 붙여주면 됩니다.

압축할 문자열 s가 매개변수로 주어질 때, 위에 설명한 방법으로 1개 이상 단위로 문자열을 잘라 압축하여 표현한 문자열 중 가장 짧은 것의 길이를 return 하도록 solution 함수를 완성해주세요.

제한사항

  • s의 길이는 1 이상 1,000 이하입니다.
  • s는 알파벳 소문자로만 이루어져 있습니다.

입출력 예

s         result

"aabbaccc" 7
"ababcdcdababcdcd" 9
"abcabcdede" 8
"abcabcabcabcdededededede" 14
"xababcdcdababcdcd" 17

입출력 예에 대한 설명

입출력 예 #1

문자열을 1개 단위로 잘라 압축했을 때 가장 짧습니다.

입출력 예 #2

문자열을 8개 단위로 잘라 압축했을 때 가장 짧습니다.

입출력 예 #3

문자열을 3개 단위로 잘라 압축했을 때 가장 짧습니다.

입출력 예 #4

문자열을 2개 단위로 자르면 abcabcabcabc6de 가 됩니다.
문자열을 3개 단위로 자르면 4abcdededededede 가 됩니다.
문자열을 4개 단위로 자르면 abcabcabcabc3dede 가 됩니다.
문자열을 6개 단위로 자를 경우 2abcabc2dedede가 되며, 이때의 길이가 14로 가장 짧습니다.

입출력 예 #5

문자열은 제일 앞부터 정해진 길이만큼 잘라야 합니다.
따라서 주어진 문자열을 x / ababcdcd / ababcdcd 로 자르는 것은 불가능 합니다.
이 경우 어떻게 문자열을 잘라도 압축되지 않으므로 가장 짧은 길이는 17이 됩니다.

 

 

 

문제 풀이 방식:

문자열을 입력받았을 때,

앞에서부터 몇개의 단위로 압축을 하면 가장 압출률이 좋은지를 판단하는 문제입니다.

해당 문제는 문자열 파싱을 하는 능력과

이중 for문을 통해서 풀 수 있습니다.

 

 

정답 코드:

def solution(s):
    
    if len(s) == 1:
        return 1
    
    result = ""
    length = []
    cut = 1
    
    for i in range(1,len(s)//2+1):
        cnt = 1
        temp_str = s[:i]
        
        for j in range(i,len(s),i):
            if temp_str == s[j:j+i]:
                cnt += 1
            else:
                if cnt == 1:
                    cnt = ""
                result += str(cnt) + temp_str
                cnt = 1
                temp_str = s[j:j+i]
        if cnt == 1:
            cnt = ""
        result += str(cnt) + temp_str
        length.append(len(result))
        result = ""
    #print(length)
    return min(length)
        
        
        

 

문제는 푸는 방법을 잘 살펴보시면

따로 특별한 알고리즘일 있는 것이 아닌,

순차적으로 완전탐색하는 방법으로 풀어야 하는 것을 아실 수 있으실 거예여.

 

그래도 압축이라는 것이 전체 길이의 /2가 최대로 압축할 수 있는 가능성이 있기 때문에

그 때까지 단위를 올려가면서 압축률을 비교해보는 문제입니다.

 

 

아래는 저의 youtube 강의입니다.

혹시 푸시다가 어려우시면 언제든지 오셔서 시청해주세요~~

좋아요 구독도 눌려주세요!ㅎㅎ

 

www.youtube.com/watch?v=9bVloX96Dj4

 

반응형
반응형

 

 

 

문제 설명

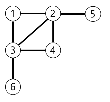
n개의 노드가 있는 그래프가 있습니다. 각 노드는 1부터 n까지 번호가 적혀있습니다. 1번 노드에서 가장 멀리 떨어진 노드의 갯수를 구하려고 합니다. 가장 멀리 떨어진 노드란 최단경로로 이동했을 때 간선의 개수가 가장 많은 노드들을 의미합니다.

노드의 개수 n, 간선에 대한 정보가 담긴 2차원 배열 vertex가 매개변수로 주어질 때, 1번 노드로부터 가장 멀리 떨어진 노드가 몇 개인지를 return 하도록 solution 함수를 작성해주세요.

제한사항

  • 노드의 개수 n은 2 이상 20,000 이하입니다.
  • 간선은 양방향이며 총 1개 이상 50,000개 이하의 간선이 있습니다.
  • vertex 배열 각 행 [a, b]는 a번 노드와 b번 노드 사이에 간선이 있다는 의미입니다.

입출력 예

nvertexreturn

6 [[3, 6], [4, 3], [3, 2], [1, 3], [1, 2], [2, 4], [5, 2]] 3

입출력 예 설명

예제의 그래프를 표현하면 아래 그림과 같고, 1번 노드에서 가장 멀리 떨어진 노드는 4,5,6번 노드입니다.

 

 

 

문제 푸는 방법:

BFS 알고리즘으로 한 칸씩 가면서 Count를 +1 씩 해주면된다.

마지막 Visited 리스트에서 Counter 함수를 통해 중복값끼리 모으고 Sorting 하여 최대값을 알아낸다.

 

정답 코드:

from collections import deque, Counter

def solution(n, edge):
    answer = 0
    graph = {}
    for i in edge:
        if i[0] in graph:
            graph[i[0]].append(i[1])
        else:
            graph[i[0]] = [i[1]]
        if i[1] in graph:
            graph[i[1]].append(i[0])
        else:
            graph[i[1]] = [i[0]]
    
    result = bfs(graph,1)
    result = sorted(result.values(), reverse=True)
    return list(Counter(result).values())[0]

def bfs(edge,root):
    visited = {}
    queue=deque([[root,0]])
    arr = [[root,0]]
    while queue:
        current = queue.popleft()
        if current[0] not in visited:
            visited[current[0]] = current[1]
            add = set(edge[current[0]]) - set(visited)
            queue += ([[i,current[1]+1] for i in add])
    return visited

 

나의 생각:

드디어 경로 문제의 첫 발을 띄었다.

항상 알고리즘 문제에서 경로 문제를 제일 어려워했는데,

프로그래머스의 Level 2의 조금 쉬운 문제로 시작했다.

생각보다 어려운 공식이 아니었다. 앞으로 경로 문제 풀 때 괜히 겁먹지 말자!

화이팅!!

 

 

NHN 코딩테스트를 대비하며 Java 로도 풀어보았다.

푸는 방식은 위의 파이썬 코드 설명과 같다. 화이팅!

 

import java.util.*;

class Solution {
    public int solution(int n, int[][] edge) {
        int answer = 0;
        ArrayList<ArrayList<Integer>> list = new ArrayList<ArrayList<Integer>>();
        for(int i=0; i<edge.length; i++){
            list.add(new ArrayList<Integer>());
        }
        for(int[] i:edge){
            int a = i[0];
            int b = i[1];
            list.get(a).add(b);
            list.get(b).add(a);
        }
        int[] cnt = new int[n+1];
        cnt[0]=cnt[1] = 0;
        boolean[] visited = new boolean[n+1];
        visited[0]=visited[1] = true;
        Queue<Integer> q = new LinkedList<Integer>();
        q.add(1);// 시작점
        while(!q.isEmpty()){
            int cur = q.poll();
            for(int v:list.get(cur)){
                if(!visited[v]){
                    visited[v] = true;
                    cnt[v] = cnt[cur]+1;
                    q.add(v);
                }
            }
        }
        int max = 0;
        int ans = 0;
        for(int i: cnt){
            if(max<i){
                max = i;
                ans = 1;
            }else if(max == i){
                ans += 1;
            } 
        }
        
        return ans;
    }
}

 

 

반응형

+ Recent posts